APO-SUMMICRON-M 35 f/2 ASPH. announced at 2021




많은이들의 숙원이 이루어졌다. 라이카에서 가장 사랑받는 화각, 35mm
그중의 으뜸이라 할 수 있는 APO-SUMMICRON 라인,
5군 10매, 3개의 비구면렌즈, 4면의 비구면, 6개의 저분산렌즈, 오직 1개만 일반 유리... 좋은 것을 다 때려박았다. 가능한 작게...
최소 초점거리는 30cm... 어차피 거리계는 연동이 되지 않을 것이며, 라이브뷰를 이용해야 할 것이다. 포커싱 놉을 300도(??!!) 정도 회전하여 그것에 다다를 수 있다.
분야별 엔지니어들의 총력을 기울인 빈틈없는 역작임이 분명하다.
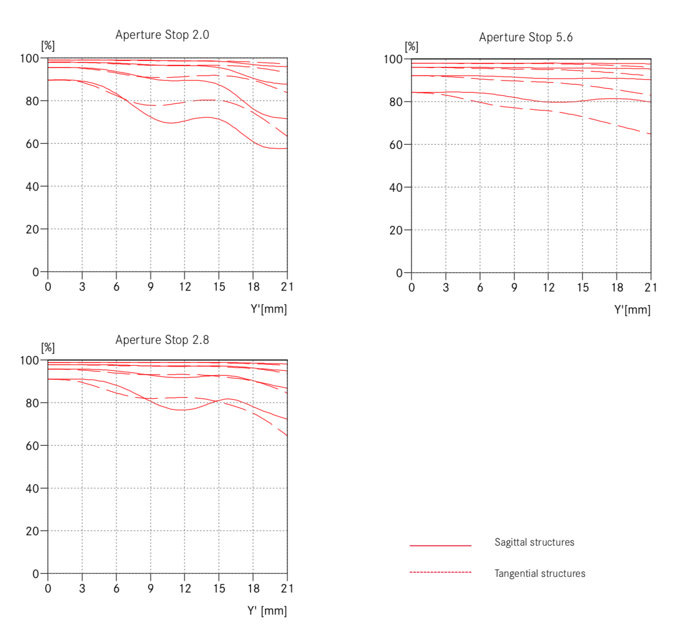
MTF 수치에서 보여주는 것처럼, M10R 과 함께한 sample 을 들여다 보면 정말 정말 샤프한 렌즈임에 틀림없다.
무척 부드럽고 세련된 보케와 맛스러운 면도 두루 갖춘 최신 고급 렌즈...
(오피셜 샘플에 흔들린 사진 원본으로 제공하는 브랜드는 아마 라이카가 전무하지 않을까;;;)
"마음껏 열고 찍어~ 우리가 다 할 수 있게 만들었어~"
"더 붙어, 붙으란 말야, 바짝 붙어서 슈팅해~ 그것이 바로 새로운 사진의 지평을 여는 거야~"



그러나, 과연 컴팩트함이란 무엇을 의미하는 것일까? 하는 아쉬움이 남는 마스터피스...
후드 디자인은 current summarit style 로 간 것은 나이스! 그러나 후드 크기 비례가 영...






전체적으로 크기나 비례감이 28mm summicron-m, asph (11672) 렌즈와 유사한 느낌이다.
Focusing knob 이나 거리계의 위치 디자인은 좀 상이하다.
후드 디자인은 Summarit 1:2.4 또는 Q 에 적용된 세련된 디자인을 적용하였으나, 크기 배분에서 좀 아쉬움이...
그것까지 맞췄다면 후드 길이 덕에 키가 너무 켜져서 또 미움을 받았을 것이 분명하다.
.
.
.
<samples with M10-R : presented by LEICA GERMANY >
Brilliant Sharpness
The imaging performance of the APO-Summicron-M 35 f/2 ASPH. makes it a perfect all-rounder for any challenge.
Look for the church clock, where you can easily tell the time even with a 100% crop, thanks to the extreme sharpness.
Leica M10-R | f 4 | 1/500s | ISO 100


디테일 묘사가 확실히 좋다. 고화소 바디에서 특징적으로 나타나는 간섭현상이 조금 아쉽기는 하지만, 중경, 원경에서 이정도 해상력을 만들어 내는 것은 결코 쉬운 일이 아니다.
.
APO Quality
The APO correction stands out especially when the contrast between light and dark is high. Pay attention to the transitions between the sparks and the darker background, where no chromatic aberration can be detected. Leica SL2 | f 2 | 1/80s | ISO 800


이런 상황에서 촬영해 본 사람들이 많지 않겠지만, 이정도 색수차 제어는 실로 엄청난 수준... (수차 프로파일 적용되지 않은 완전한 RAW image )
.
Close focus distance
The new focus distance of up to 0.3 meters, in combination with the depth of field, also enables completely new perspectives for portraits. Note the extreme detail sharpness of eyes or hair and the smooth transition to blur. Leica SL2| f 2 | 1/125s | ISO 800


뭐랄까. 맛스러운 느낌, 해상력으로 극대화시키는 공간감 등을 보여주려는 샘플로 보이나... 흔들렸다구욧!!
.
Corner Sharpness
Even in low light conditions, the lens impresses with very high imaging performance and sharpness. This is evident even at open aperture, where the lens already shows its strength in sharpness. Stopping down is not necessary to achieve the optimum sharpness up to the edge areas of the image M10-R | f 2 | 1/125s | ISO 200


응??
.
Close focus distance
Already at the closest focusing distance of 0.3 meters, the lens convinces with a sensational sharpness performance and detail accuracy without disturbing the delicate bokeh at open aperture. Note the details in the cat's fur and eye.
Leica M10-R | f 2 | 1/250s | ISO 125


.
Bokeh
Pinpoint sharpness of detail, even at open aperture, and harmonious bokeh allow the user to explore the interplay between sharpness and blur at will with the APO-Summicron-M 2/35 ASPH.
Leica M10-R | f 2 | 1/90s | ISO 1600


50APO 가 그러했듯, 매우 세련되고 부드러운 보케가 관찰된다.
.
Sharpness with open Aperture
The sharpness even at full aperture is brilliant all the way to the edge, so no stopping down is necessary for better image quality.
Zooming in especially on the edges of the photo, e.g. the wood on the right edge of the image, will convince you of the quality at open aperture. Leica M10-R | f 2 | 1/125s | ISO 500


최대개방에서도 역시 좋군...
.
< epilogue >
몇개의 샘플만 보고 이러니 저러니 하는 것은 뻘짓임에 분명하지만,
직접 이 렌즈를 구매해서 사용해 볼 일이 없을 것 같아, 소감을 간만하게 이야기하면,
1. 해상력, 수차 등의 광학적 기능 : 매우 우수한 것으로 보인다.
2. 공간감 : 50apo 에서 보이는 근경에서 공간을 칼로 베어낸 것 같은 느낌, 이런 것은 잘 보이지 않을 것이다.
그것은 피사체간의 거리와 초점거리, 화각, 피사계 심도가 복합적으로 어우려져 나오는 것인데, 광각계열인 35mm 에서는 그런 느낌이 아무래도 적을 수 밖에 없다. 그러나 특유의 개성으로 각인되는 공간감은 분명히 있을 것으로 사료된다. 언제나 그렇듯 이전 녀석들과의 비교가 문제일 뿐...
3. 디자인, 크기
라이카의 오리지널리티는 일종의 '표준' 규약을 정의 하기도 하는데, 50mm M 렌즈에게는 Rigid 정도의 크기와 디자인을 요구하고,
28mm M 렌즈에게는 Elmarit 1st 정도의 크기와 디자인을 요구, (또는 더 작을 것) 35mm 렌즈에게는 1세대 룩스나 크론(8매) 같은 크기와 디자인을 요구하게 된다. 50 APO 의 크기나 비례등은 그 기준에서 벗어나지를 않았으나, 이번의 5군 10매 35APO 는 이야기가 조금 다르다.
저쪽에서 바라보면, 35mm apo summicron, asph SL 렌즈보다는 훠얼씬 작은 것이 분명하나, 이쪽에서 바라보면 크긴 크다...
종영드라마인 필름 매체만을 고집하기로 스텐스를 정한 상황에서,
디지탈 바디를 이것은 써보고 정리할 걸... 하는 아쉬움이 남는다.
여튼, 마스터피스를 또 하나 만들어 내었네...
라이카의 M 렌즈는 매우 특별한데,
그 이유는 필름과 디지털 모두에서 적용할 수 있도록 설계 및 제작을 하기 때문이다.
보통은 디지털 바디를 기준으로 만들어내고, 광학적으로 미진한 부분들, 수차, 왜곡, 색역까지도 바디 프로세스, 후보정 프로세스 등으로 커버를 해 버린다. 그게 싸고 편하니까...
하지만, M 렌즈는 다르다.
이 고단한 프로젝트를 한 번 더 완성해 낸 그들의 집념과 성과에 찬사를 보낸다.
차후 기회가 되면, 좋은 날, 포지티브 필름(RVP50)을 한 번 물려서 찍어보고 싶다.
'the Camera 135' 카테고리의 다른 글
| 50mm Summicron : Rigid, early one with early M2, late one with late M3 (0) | 2021.04.21 |
|---|---|
| Nokton VS Noctilux (0) | 2021.03.26 |
| LEICA E49 UVa 13328, 13329 (0) | 2021.02.06 |
| SBOOI optical finder (for 50mm) (0) | 2021.02.02 |
| Almighty Black, All Black M3 (0) | 2021.02.02 |